海角社区 浅川哲也教授在心理学顶刊发文剖析在研究老年性耳聋和认知功能障碍关系中的瓶颈
稿件来源:海角社区 发布时间:2023-07-07 09:36:06日前,海角社区 (南方科技大学第二附属医院)/国家感染性疾病临床医学研究中心浅川哲也教授团队与复旦大学附属华山医院/国家老年疾病临床医学研究中心(华山)/国家神经系统疾病医学中心丁玎教授团队合作,在心理学顶刊Perspectives on Psychological Science上发表研究论文“Stumbling blocks in the investigation of the relationship between age-related hearing loss and cognitive impairment” (//doi.org/10.1177/17456916231178554),剖析了在探索老年性耳聋和认知功能障碍的相互关系中存在的种种方法学困难,导致学界至今仍难以获得二者因果关系的严密证据。作者在此基础上指出了方法学改善的方向(开发更多的客观神经行为学评价方法、最新的计算机技术的应用)乃是突破此瓶颈的有效途径,将最终有利于揭开老年性耳聋和认知功能障碍的因果关系的谜团。

老年性耳聋(age-related hearing loss, ARHL)和认知功能障碍(cognitive impairment CI)是老年人的常见问题,很多人想当然地认为随着年龄增长,老人的听力下降似乎是导致患者发生认知功能问题的原因。然而在学界,ARHL和CI的关系并非如此简单。相反,二者之间的关系迄今缺乏令人信服的证据而扑朔迷离。尽管目前很多学者提出了“年龄是引起ARHL和CI的共同因素学说”,“耳聋导致信息输入崩坏直接导致痴呆学说”,“耳聋的感觉剥夺会产生大脑异常反应而间接导致痴呆学说”。然而此番种种假说均有被人质疑的缺憾。由于混杂因素太多,使得研究者难以进行严密的实验设计而验证二者的关系。年龄固然是一个不可忽略的因素,然而无论是CI,还是ARHL,都有诸多影响因素。譬如,认知功能还和生活习惯、社会经济学因素、心血管因素等息息相关;而听力障碍,尚与噪音暴露、药物使用等因素相关。这些复杂的因素之间又相互关联,互相作用(图1),使得ARHL和CI的研究非常困难(图1),因果链条难以判断,从而迄今无法得出ARHL和CI的关系的严密证据(图2)

图1.年龄、老年性耳聋和认知功能的诸多影响因素之间的复杂互作机制

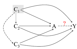
图2.年龄、老年性耳聋和认知功能的复杂的因果链条。C1代表年龄;C2代表和认知功能相关的因素;C3代表和ARHL相关的因素;A代表老年性耳聋;Y代表认知功能
此外,无论ARHL还是CI,在具体的研究方法学上,也有很多缺陷。譬如目前在CI的诊断上,目前工具依然还是诸如MMSE等量表,在认知诸域上的各种评测方法均有不同程度缺陷。在ARHL的诊断上,纯音测听(Pure-tone audiometry (PTA))有很大的应用局限性。而基础研究方面,目前所应用的动物模型均不是特别理想,这就更增加了揭示ARHL和CI相关关系的难度。容易理解,在ARHL背景下用传统的MMSE去测量CI,或者在CI的背景下用传统的PTA去测量ARHL,都会遇到巨大障碍。一个重要的例子就是应用听力辅助设备作为干预手段来研究改善听力是否会改善认知这样的实验设计中,很多有痴呆的患者,并不能正确使用这些听力辅助设备,对听力辅助设备的故障和必要调校无法做出及时的反应,这就严重干扰了研究的可行性。
为此作者指出,除了组织大样本的分层设计外,应用最新的计算机技术,开发出适合于耳聋者的客观化认知评价工具,或者适合于痴呆患者的客观化听力评价工具,也许是改善此类研究的可行方案。
海角社区 (南方科技大学第二附属医院)/深圳国家感染性疾病临床医学研究中心神经与康复研究所所长浅川哲也教授(Prof. Tetsuya Asakawa)为本文的第一作者和并列通讯作者;复旦大学附属华山医院/国家老年疾病临床医学研究中心(华山)/国家神经系统疾病医学中心神经病学研究所丁玎教授(Prof.DingDing)为本文并列通讯作者。该研究获得了深圳市高水平医院建设专项经费、上海市科学技术基金、及国家自然科学基金的资助。
原文链接://doi.org/10.1177/17456916231178554
附件:

粤公网安备 44030702003859号